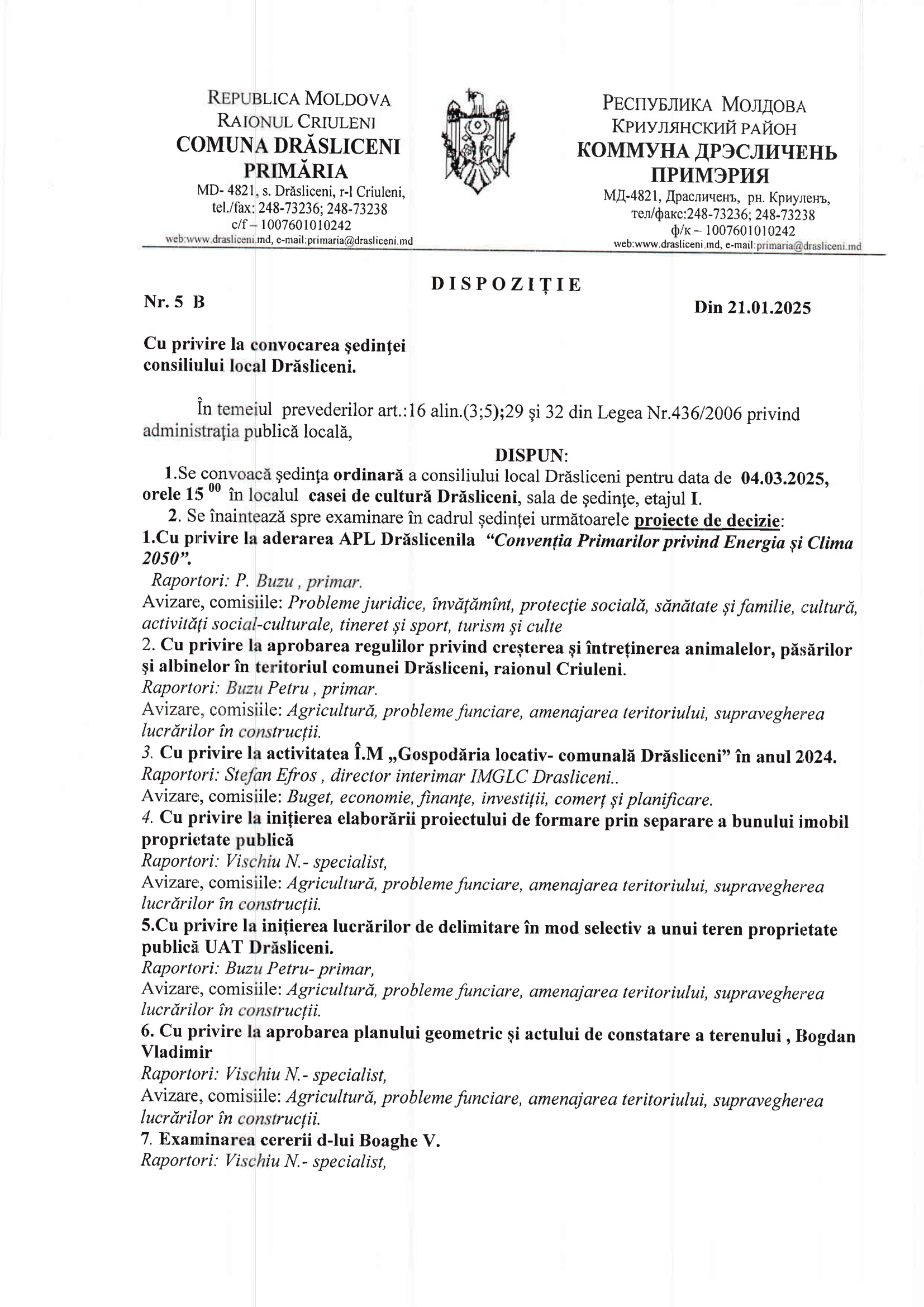
Anunt convocarea sedintei consiliului local 04.03.2025